Die Entstehung der Eurokrise ist wesentlich auf die divergierenden Inflationsraten der Mitgliedsländer zurückzuführen. In den Schuldnerländern waren die Inflationsraten überdurchschnittlich, in Gläubigerländern wie Deutschland und Finnland waren sie unterdurchschnittlich (Abbildung 1). Da die Geldpolitik der EZB zu einer Angleichung der Nominalzinsen führte, resultierten bei divergierenden Inflationsraten divergierende Realzinsen. Dadurch entstanden in den Hochinflationsländern ökonomische Anreize zur Verschuldung und in den Niedriginflationsländern ökonomische Anreize zur Ersparnisbildung. Das Ergebnis waren Leistungsbilanzdefizite in Hochinflationsländern und Leistungsbilanzüberschüsse in Niedriginflationsländern. Da ein Teil der Kredite aus den Niedriginflationsländern in den Hochinflationsländern für nichthandelbare Güter (Immobilien und Dienstleistungen) ausgegeben wurden, resultierte Überschussnachfrage in Hochinflationsländern, und da dieser Teil der Kredite nicht in Form von Nachfrage in die Niedriginflationsländer zurückfloss, resultierte dort Überschussangebot. Die Inflationsdifferenzen verfestigten sich so, und ein ökonomischer Anreiz zur Entstehung einer „Überschuldungsspirale“ in den Hochinflationsländern bzw. einer „Übersparspirale“ in den Niedriginflationsländern entstand (Maurer (2010)). Man kann die Entstehung der Eurokrise also auch ohne Rückgriff auf obskure ethnologische Hypothesen einer nordischen Völkern eigenen eisernen Spardisziplin und eines südländischen Völkern eigenen leichtsinnigen Verschwendungstriebs erklären. Es stimmten schlicht die ökonomischen Verhaltensanreize nicht. Und dafür, dass dies so war, trägt hauptsächlich die Geldpolitik der Europäischen Zentralbank die Verantwortung.
Abbildung 1 – Divergenz der Preisniveaus in der Europäischen Währungsunion
– Zum Vergrößern Schaubild klicken –
Die EZB verfolgt genau genommen kein wohldefiniertes geldpolitisches Ziel. In ihrer Pressemitteilung vom Oktober 1998, definiert sie ihr Ziel als einen jährlichen Anstieg des Verbraucherpreisindexes des Euroraums („euro area“) von knapp 2%. Der „Euroraum“ ist jedoch groß, und eine durchschnittliche Inflationsrate von 2% kann theoretisch mit unendlich vielen Kombinationen höchst unterschiedlicher Inflationsraten der einzelnen Mitgliedsländer einhergehen.
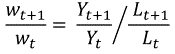
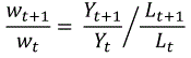
Abbildung 2 zeigt die Konsequenzen divergierender Inflationsraten für die Arbeitsmärkte der jetzigen Krisenländer. Wie man sieht, ging die Divergenz der Lohnstückkosten der Krisenländer im Vergleich zu Deutschland von 1999 bis 2007 mit einer weitgehenden Konstanz der der Lohnquote am Bruttoinlandprodukt einher. Erst mit dem Ausbruch der Finanzmarktkrise 2008 stieg die Lohnquote der Krisenländer deutlich an, weil das BIP der Krisenländer rezessionsbedingt einbrach und Arbeitsverträge normalerweise nicht so schnell angepasst werden können. Seit 2009 bildet sich die Lohnquote wieder zurück – größtenteils entlassungsbedingt. Wie folgende Überlegungen zeigen, resultiert ein Anstieg der Lohnstückkosten bei Konstanz der Lohnquote immer dann, wenn Inflation herrscht. Um die Lohnquote konstant zu halten,
(wt entspricht der durchschnittlichen nominalen jährlichen Lohnzahlung pro Beschäftigtem t in Periode t, Lt entspricht der Anzahl der Beschäftigten in Periode t, Yt entspricht dem realen BIP und Pt entspricht dem Preisniveau des BIP) müssen die Nominallöhne mit der um das Wachstum der realen Arbeitsproduktivität bereinigten Inflationsrate steigen:
Da die Lohnstückkosten jedoch auf Basis des realen Bruttoinlandsproduktes berechnet werden, erfordert eine Konstanz der Lohnstückkosten
(wobei PT dem Preisniveau des BIP im Basisjahr T entspricht) ein Nominallohnwachstum, das lediglich dem Wachstum der realen Arbeitsproduktivität entspricht:
Mit anderen Worten, immer dann wenn Inflation herrscht, Pt+1 / Pt> 1, und die Lohnpolitik mittels Zahlung eines Inflationsausgleichs, die Lohnquote konstant halten möchte, steigen notwendigerweise die Lohnstückkosten. Für eine Währungsunion mit divergierenden Inflationsraten in einzelnen Mitgliedsländern impliziert dies dann divergierende Lohnstückkosten: In den Hochinflationsländern steigen die Lohnstückkosten stärker als in den Niedriginflationsländern.
Abbildung 2 – Divergenz der Lohnstückkosten bei weitgehender Konstanz der Lohnquote
– Zum Vergrößern Schaubild klicken –
Im Unterschied zu einem System flexibler Wechselkurse, sind divergierende Lohnstückkosten in einer Währungsunion ein reales Problem: In einem System flexibler Wechselkurse sorgt der Kaufkraftparitäten-Mechanismus, zumindest langfristig, wenn die Inflationsdivergenzen zu groß werden, für eine Abwertung der Währungen der Hochinflationsländer. Wenn also die Lohnstückkosten eines Hochinflationslandes im Verhältnis zu den Lohnstückkosten eines Niedriginflationslandes steigen, die Währung aber gleichzeitig um die Inflationsdifferenz abwertet, e£$t↓ = P$t↓ / P£t↑, bleiben die Lohnstückkosten des Hochinflationslandes gemessen in der Währung des Niedriginflationslandes konstant. Die „internationale Wettbewerbsfähigkeit“ des Hochinflationslandes verändert sich also nicht gegenüber dem Niedriginflationsland. In einer Währungsunion kann jedoch kein Wechselkurs diese Ausgleichfunktion übernehmen. Wenn die Lohnstückkosten in Irland stärker steigen als in Deutschland bedeutet dies, dass die realen Arbeitskosten im Vergleich zu Deutschland steigen. Irland verliert als Produktionsstandort also gegenüber Deutschland an Wettbewerbsfähigkeit.
Um dieses Problem zu vermeiden, gibt es im Prinzip zwei Möglichkeiten: Entweder die Notenbank der Währungsunion sorgt dafür, dass die Preisniveaus der Mitgliedsländer im Schnitt mit der gleichen Inflationsrate steigen, oder die Beschäftigen in den Hochinflationsländern der Währungsunion akzeptieren einen stetigen Rückgang der Lohnquote – und, wenn die Inflationsrate größer ist als das Wachstum der realen Arbeitsproduktivität, auch einen Rückgang der Reallöhne. Schaubild 3 zeigt die hypothetische Lohnquote, die notwendig gewesen wäre, um die Lohnstückkosten auf dem Niveau des Jahres 1999 zu halten. Verglichen mit der tatsächlichen Entwicklung seiner Lohnquote hätte Deutschland seine Lohnquote bis zum Jahr 2007 um 1,4% stärker steigen lassen müssen, um den in diesem Zeitraum erfolgten Rückgang seiner Lohnstückkosten zu vermeiden. Die Eurokrisenländer hätten dagegen einen deutlichen Rückgang ihrer Lohnquoten (Reallöhne) in Kauf nehmen müssen: Irland um 10,4% (12,7%), Griechenland um 7,6% (5,3%), Spanien um 13,3% (26,7%), Italien um 6,9% (17,5%) and Portugal um 10,3% (15,8%). Es ist fraglich, ob diese Art von geldpolitisch verursachter Umverteilungspolitik sozial und politisch durchsetzbar wäre. Zumal bei Fortbestand der überdurchschnittlichen Inflationsraten auch der Rückgang der Lohnquoten weitergehen muss, um die Wettbewerbsfähigkeit gegenüber den Niedriginflationsländern zu erhalten.
Abbildung 3 – Hypothetisch notwendige Lohnquoten und Reallöhne zur Konstanthaltung des Lohnstückkostennivaus von 1999
– Zum Vergrößern Schaubild klicken –
Es spricht deshalb also einiges dafür, dass sich das Problem divergierender Lohnstückkosten nur durch eine Angleichung der Inflationsraten der Mitgliedsländer der Währungsunion lösen lässt. Die Europäische Zentralbank muss deshalb ihr Verständnis einer „einheitlichen Geld- und Währungspolitik“ ändern: An die Stelle „einheitlicher Refinanzierungsbedingungen“ für die Geschäftsbanken muss sie „einheitliche Inflationsraten“ in den Mitgliedsländern setzen. Die Refinanzierungsbedingungen der Geschäftsbanken müssen entsprechend differenziert werden. Wie von mir hier schon einmal (mit Bezug auf Arbeiten von Palley (2006), Holz (2007) und Black (2010)) vorgeschlagen, könnte dies durch eine Differenzierung des Hauptrefinanzierungssatzes oder der Mindestreservesätze erfolgen. Für Kredite die Geschäftsbanken in Länder mit hoher Inflationsrate vergeben müssen die Hauptrefinanzierungssätze oder Mindestreservesätze entsprechend höher sein, als für Kredite in Länder mit niedriger Inflationsrate, so dass der Inflationsprozess in jedem Mitgliedsland im Mittelwert die einheitliche Zielinflationsrate der EZB retourniert.
Diese Anpassung der geldpolitischen Strategie der EZB erscheint notwendig, um die Europäische Währungsunion zusammenzuhalten – nachdem die gegenwärtige Krise überwunden ist. Doch was folgt aus dieser Analyse für die Überwindung der Krise? Im Prinzip das Gleiche: Da es die EZB versäumt hat, für eine Angleichung der Inflationsraten in den Mitgliedsländern zu sorgen, muss dies nun gewissenmaßen nachgeholt werden: Bisherige Niedriginflationsländer wie Deutschland, Österreich und Finnland benötigen höhere Inflationsraten und die bisherigen Hochinflationsländer benötigen niedrigere Inflationsraten, solange bis die Indexzeitreihen in Abbildung 1 gegen einen Mittelwert konvergiert sind. Wie Abbildung 1 zeigt, hat beispielsweise Irland unter Inkaufnahme einer schweren Rezession sich dem EWU-Mittelwert von „oben stark“ angenähert. Nun müssen Länder wie Deutschland, Österreich und Finnland das Gleiche „von unten“ nachvollziehen.
Bei vielen Deutschen mag die Aussicht auf überdurchschnittlich hohe Inflationsraten „kognitive Dissonanzen“ auslösen. Aber das ist letztlich kein ökonomisches Problem. Deutsche Sparer sind seit dem Beginn der Währungsunion privilegiert gewesen gegenüber den Sparern in den jetzigen Krisenländern, die unter „finanzieller Repression“ leiden mussten (Abbildung 4, Erläuterung der Daten hier). Bei den Investoren war es übrigens umgekehrt. Nun muss dieser Prozess umgedreht werden, um wieder die aus ökonomischer Sicht notwendige Symmetrie herzustellen. Das sollte durchaus mit weit verbreiteten Vorstellungen von Fairness zu vereinbaren sein. Eine viel wichtigere Frage ist dagegen, ob alle Mitgliedsländer der Währungsunion angesichts der noch immer vorhandenen strukturellen Unterschiede, eine Konvergenz der Inflationsraten mitmachen können. Wie empirische Untersuchungen gezeigt haben (DeGrauwe und Skudelny (2000)) dürfte der Balassa-Samuelson-Effekt, demzufolge Länder mit niedrigerer Arbeitsproduktivität im Industriesektor höhere Inflationsraten benötigen, um zu Ländern mit höherer Arbeitsproduktivität aufzuschließen, für einige Mitgliedsländer noch immer von Bedeutung sein. Diese müssten entscheiden, ob sie willens sind, die möglichen Wachstumsverluste zu tragen, die für sie aus einer Geldpolitik der Angleichung der Inflationsraten resultieren können.
Abbildung 4 – Durchschnittliche, jährliche Realerträge in Deutschland im Vergleich zu den Eurokrisenländern
– Zum Vergrößern Schaubild klicken –









